发表于:广西
书法资料|名人撰句《史晨碑集联》原碑拓字
时间:2018-08-31
编辑:田林县图书馆
浏览:0

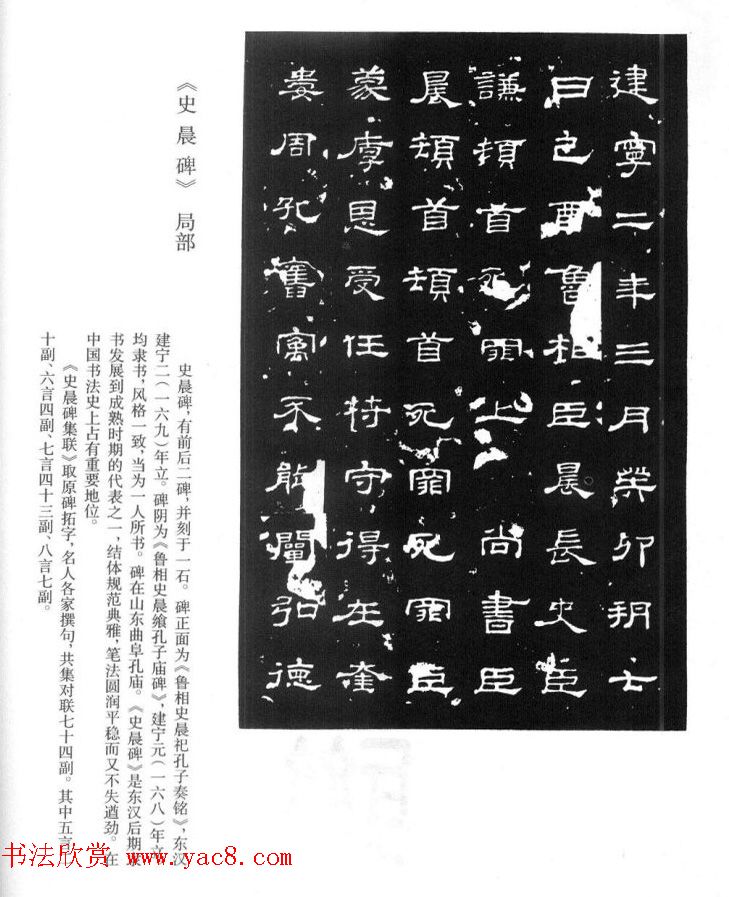
《史晨碑集联》取原碑拓字,名人各家撰句,既有文辞,又有书体,可收书文并茂、相得益彰之效。就习书者而言,可作为其由临习到创作的津梁,使传统书法更具实用性和趣味性。

名人撰句《史晨碑集联》原碑拓字名人撰句《史晨碑集联》原碑拓字名人撰句《史晨碑集联》原碑拓字名人撰句《史晨碑集联》原碑拓字名人撰句《史晨碑集联》原碑拓字

名人撰句《史晨碑集联》原碑拓字名人撰句《史晨碑集联》原碑拓字名人撰句《史晨碑集联》原碑拓字名人撰句《史晨碑集联》原碑拓字名人撰句《史晨碑集联》原碑拓字

名人撰句《史晨碑集联》原碑拓字名人撰句《史晨碑集联》原碑拓字名人撰句《史晨碑集联》原碑拓字名人撰句《史晨碑集联》原碑拓字名人撰句《史晨碑集联》原碑拓字

名人撰句《史晨碑集联》原碑拓字名人撰句《史晨碑集联》原碑拓字名人撰句《史晨碑集联》原碑拓字名人撰句《史晨碑集联》原碑拓字名人撰句《史晨碑集联》原碑拓字

名人撰句《史晨碑集联》原碑拓字名人撰句《史晨碑集联》原碑拓字名人撰句《史晨碑集联》原碑拓字名人撰句《史晨碑集联》原碑拓字名人撰句《史晨碑集联》原碑拓字

名人撰句《史晨碑集联》原碑拓字名人撰句《史晨碑集联》原碑拓字名人撰句《史晨碑集联》原碑拓字名人撰句《史晨碑集联》原碑拓字名人撰句《史晨碑集联》原碑拓字

名人撰句《史晨碑集联》原碑拓字名人撰句《史晨碑集联》原碑拓字名人撰句《史晨碑集联》原碑拓字名人撰句《史晨碑集联》原碑拓字

名人撰句《史晨碑集联》原碑拓字名人撰句《史晨碑集联》原碑拓字名人撰句《史晨碑集联》原碑拓字名人撰句《史晨碑集联》原碑拓字
扫一扫在手机打开当前页
.
—— 好的作品,需要你的点赞鼓励 ——
.
.
田林县图书馆
DENZLINZ YEN DUZSUHGVANJ
田林县图书馆版权所有
工作QQ:515437219
工作邮箱:tltsg123@163.com
工作电话:0776—7220956
工作地址:广西百色市田林县乐里镇新安街14号
技术支持:广西广图网络科技有限公司

.

微信公众号

.

微信小程序

.

广西公共图书馆

2018 - 2026 © tianlin.gxlib.cn All Rights Reserved . 桂ICP备19008529号 . 桂公网安备45010702001461号 . 统计代码
.