发表于:广西
书法资料|在线书法图书《米芾墨迹三种》
时间:2020-03-24
编辑:田林县图书馆
浏览:0

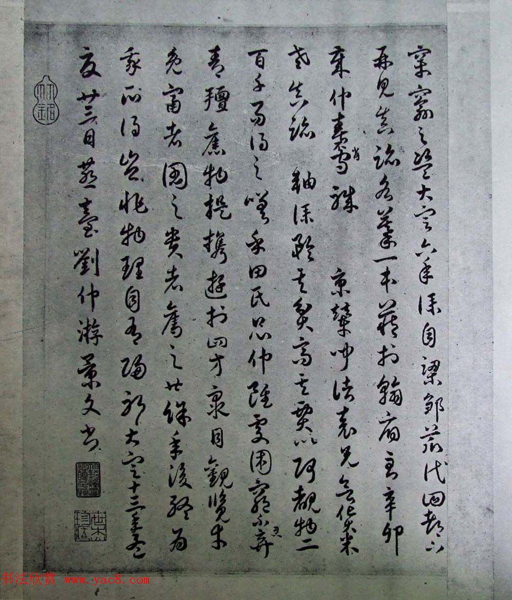
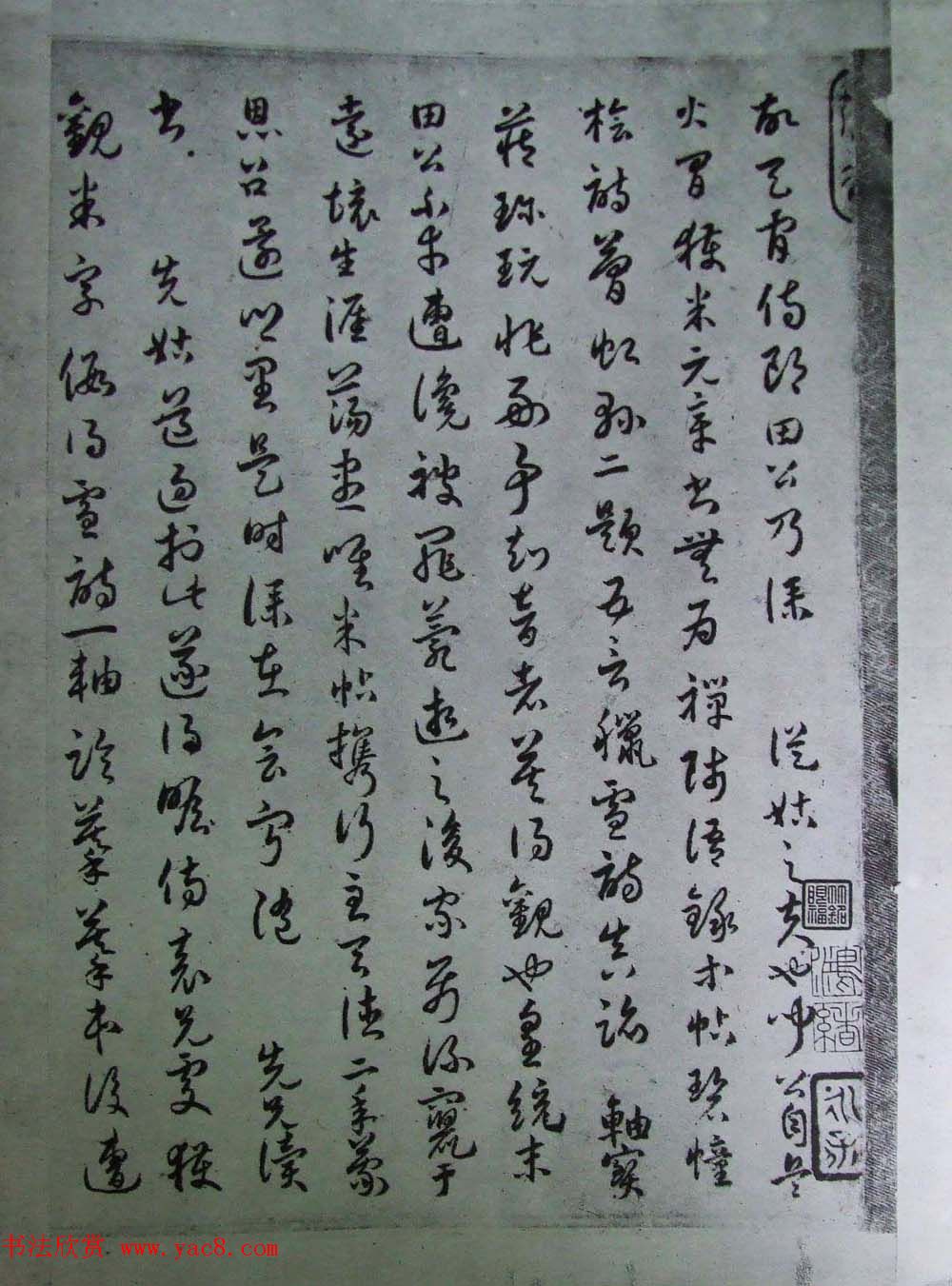
在线书法图书《米芾墨迹三种》,上海书画出版社1978版本,该书收录米芾行书墨迹:《虹县诗》、《多景楼诗》、《研山铭》 ,全书正文图片50张。

在线书法图书《米芾墨迹三种》在线书法图书《米芾墨迹三种》

在线书法图书《米芾墨迹三种》在线书法图书《米芾墨迹三种》

在线书法图书《米芾墨迹三种》在线书法图书《米芾墨迹三种》

在线书法图书《米芾墨迹三种》在线书法图书《米芾墨迹三种》

在线书法图书《米芾墨迹三种》在线书法图书《米芾墨迹三种》

在线书法图书《米芾墨迹三种》在线书法图书《米芾墨迹三种》

在线书法图书《米芾墨迹三种》在线书法图书《米芾墨迹三种》

在线书法图书《米芾墨迹三种》在线书法图书《米芾墨迹三种》

在线书法图书《米芾墨迹三种》在线书法图书《米芾墨迹三种》

在线书法图书《米芾墨迹三种》在线书法图书《米芾墨迹三种》

在线书法图书《米芾墨迹三种》在线书法图书《米芾墨迹三种》

扫一扫在手机打开当前页
.
—— 好的作品,需要你的点赞鼓励 ——
.
.
田林县图书馆
DENZLINZ YEN DUZSUHGVANJ
田林县图书馆版权所有
工作QQ:515437219
工作邮箱:tltsg123@163.com
工作电话:0776—7220956
工作地址:广西百色市田林县乐里镇新安街14号
技术支持:广西广图网络科技有限公司

.

微信公众号

.

微信小程序

.

广西公共图书馆

2018 - 2026 © tianlin.gxlib.cn All Rights Reserved . 桂ICP备19008529号 . 桂公网安备45010702001461号 . 统计代码
.