发表于:广西
名家书法|文徵明细楷落花诗十首卷日本二玄社版
时间:2020-11-11
编辑:田林县图书馆
浏览:0

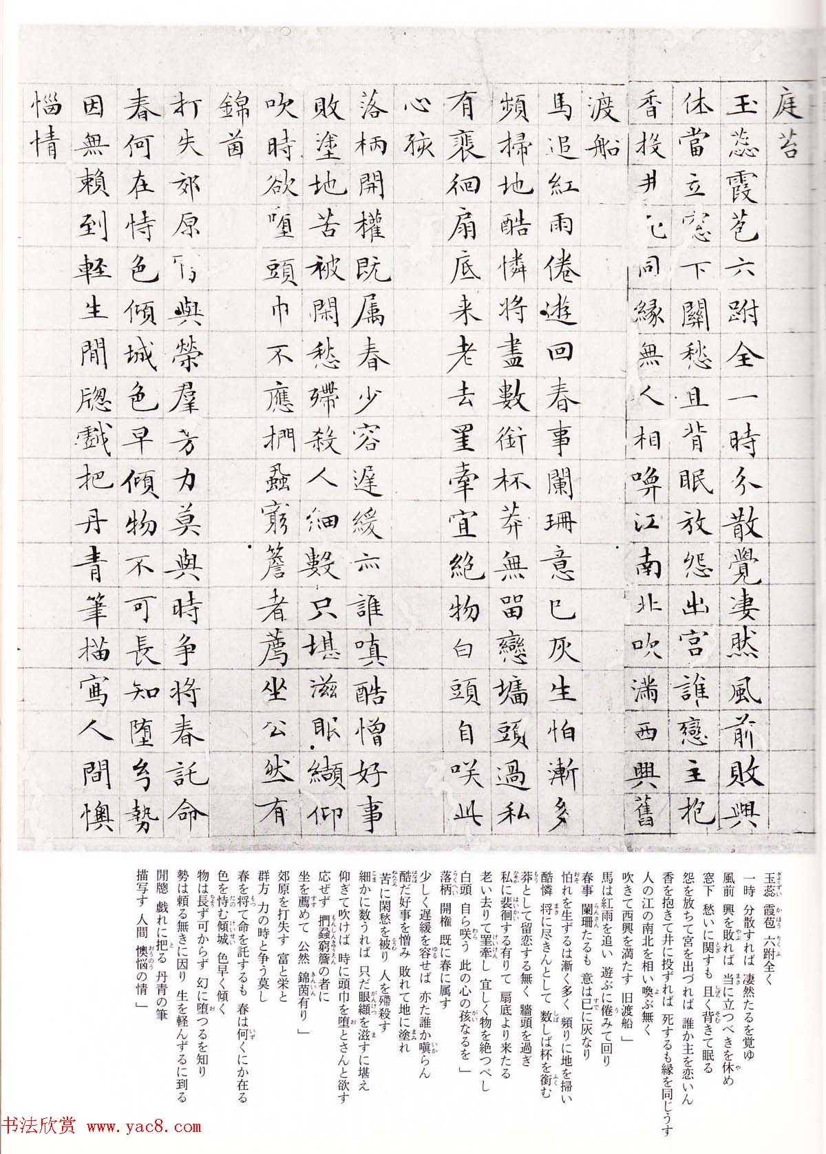
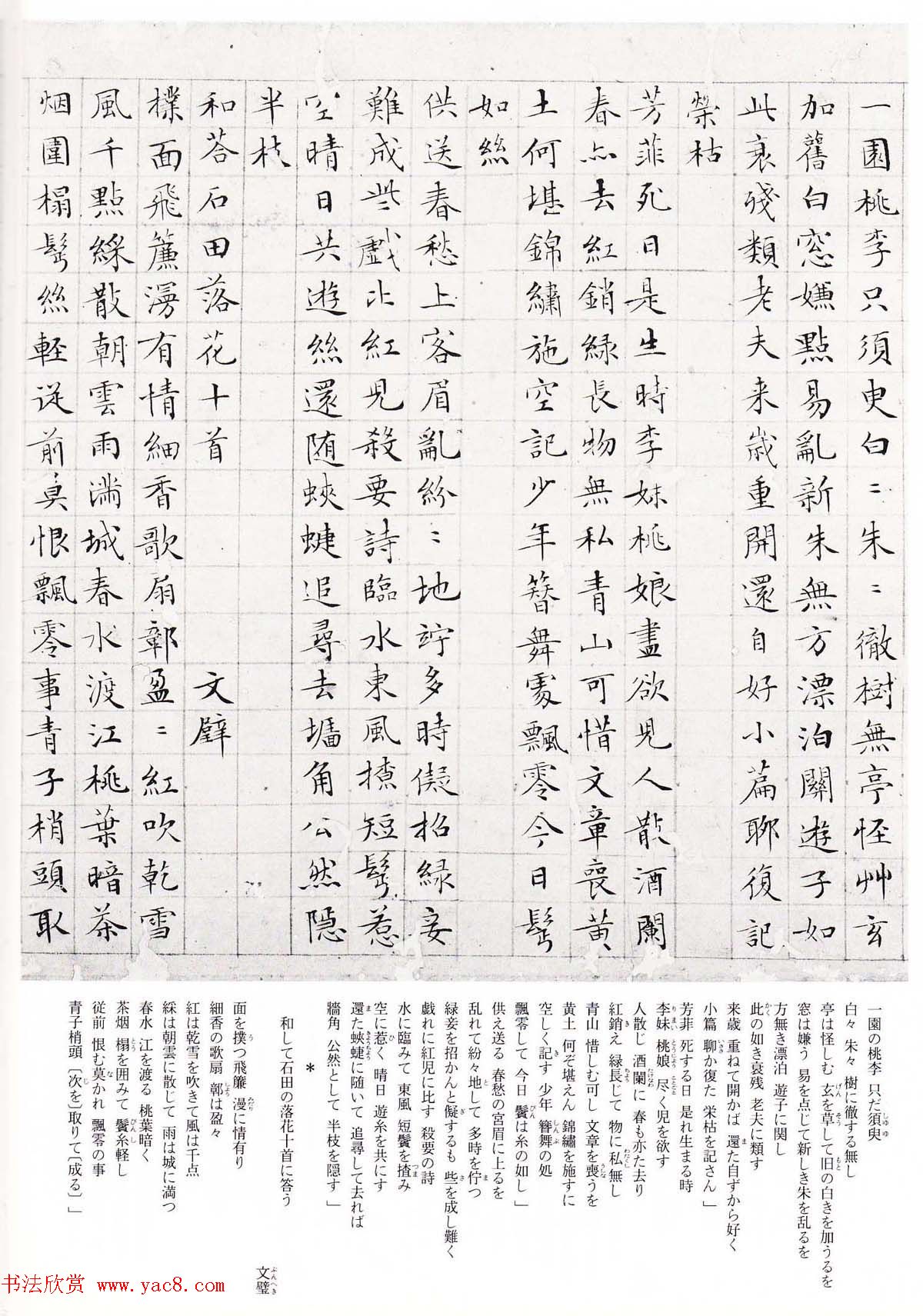
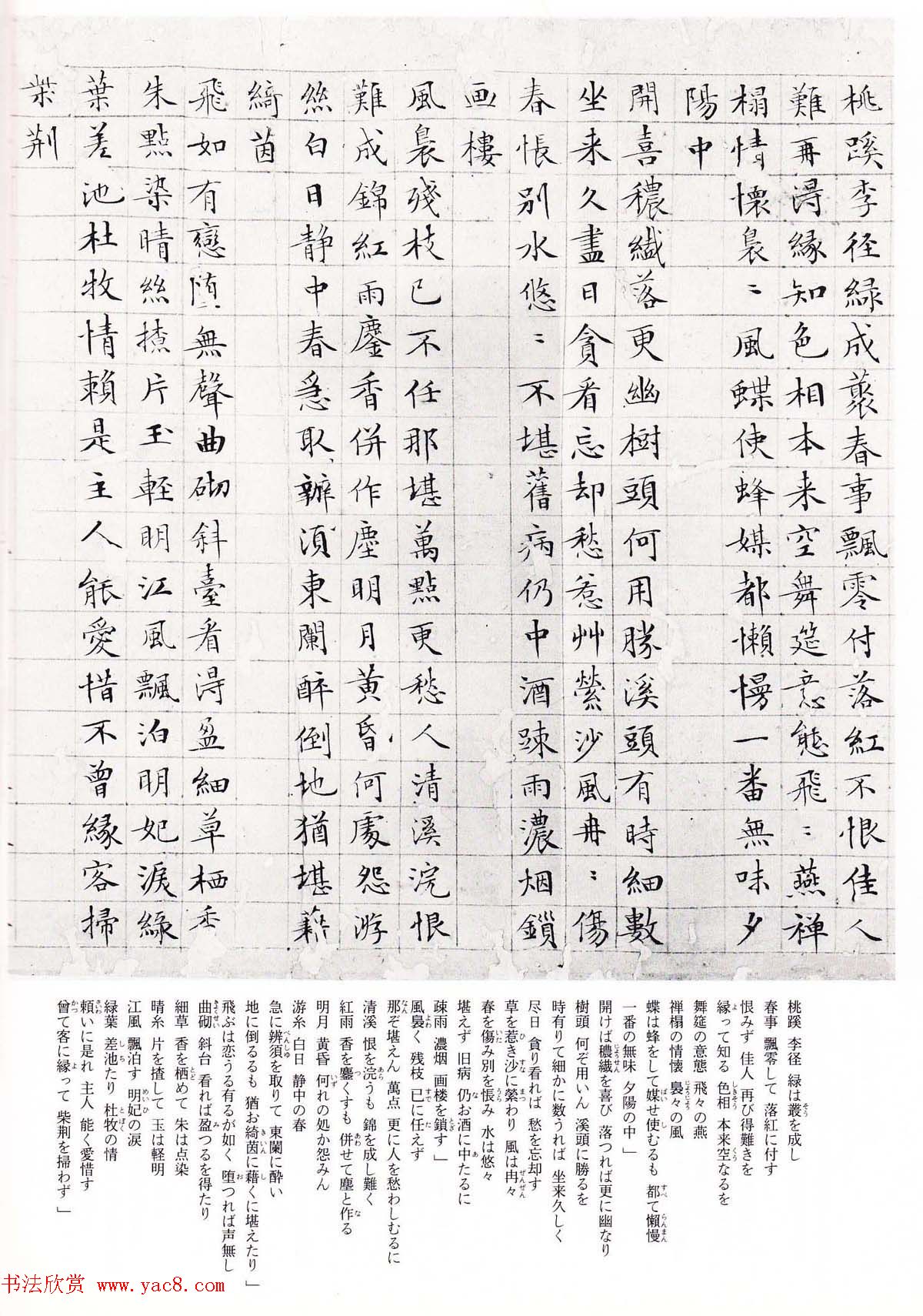
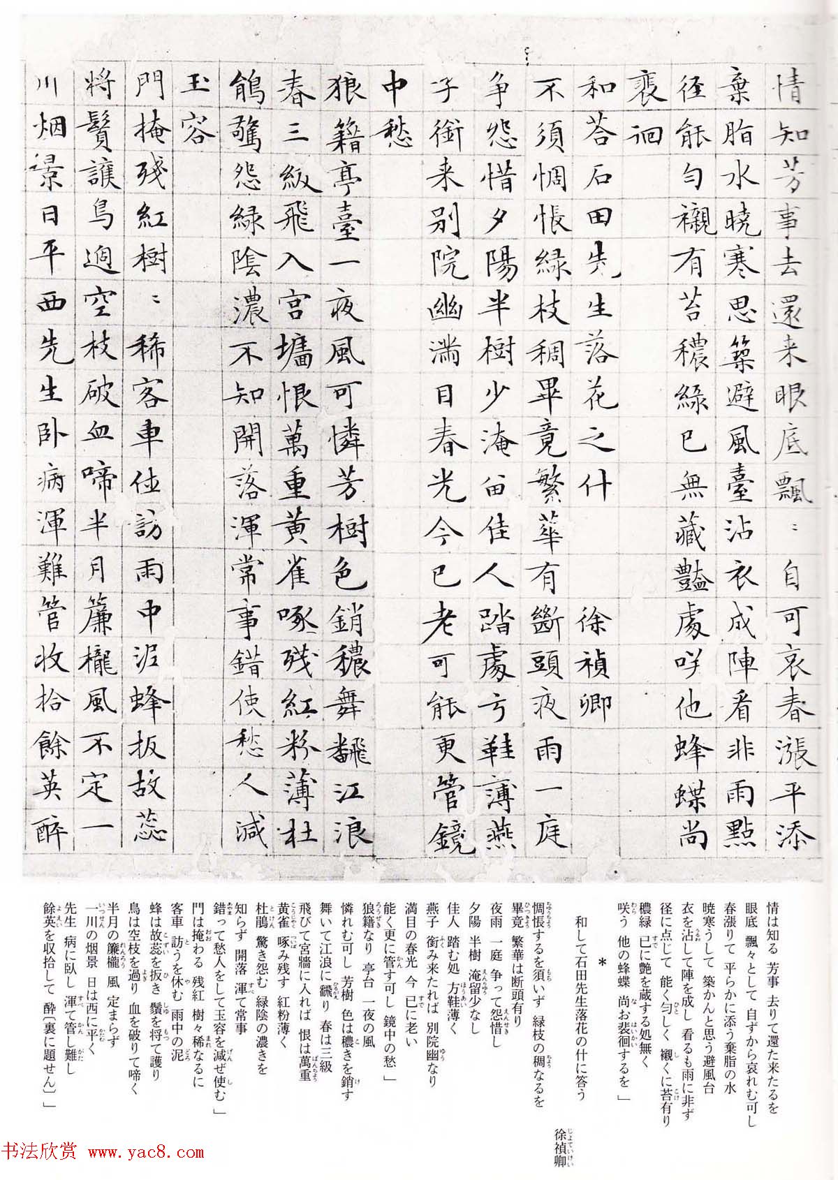
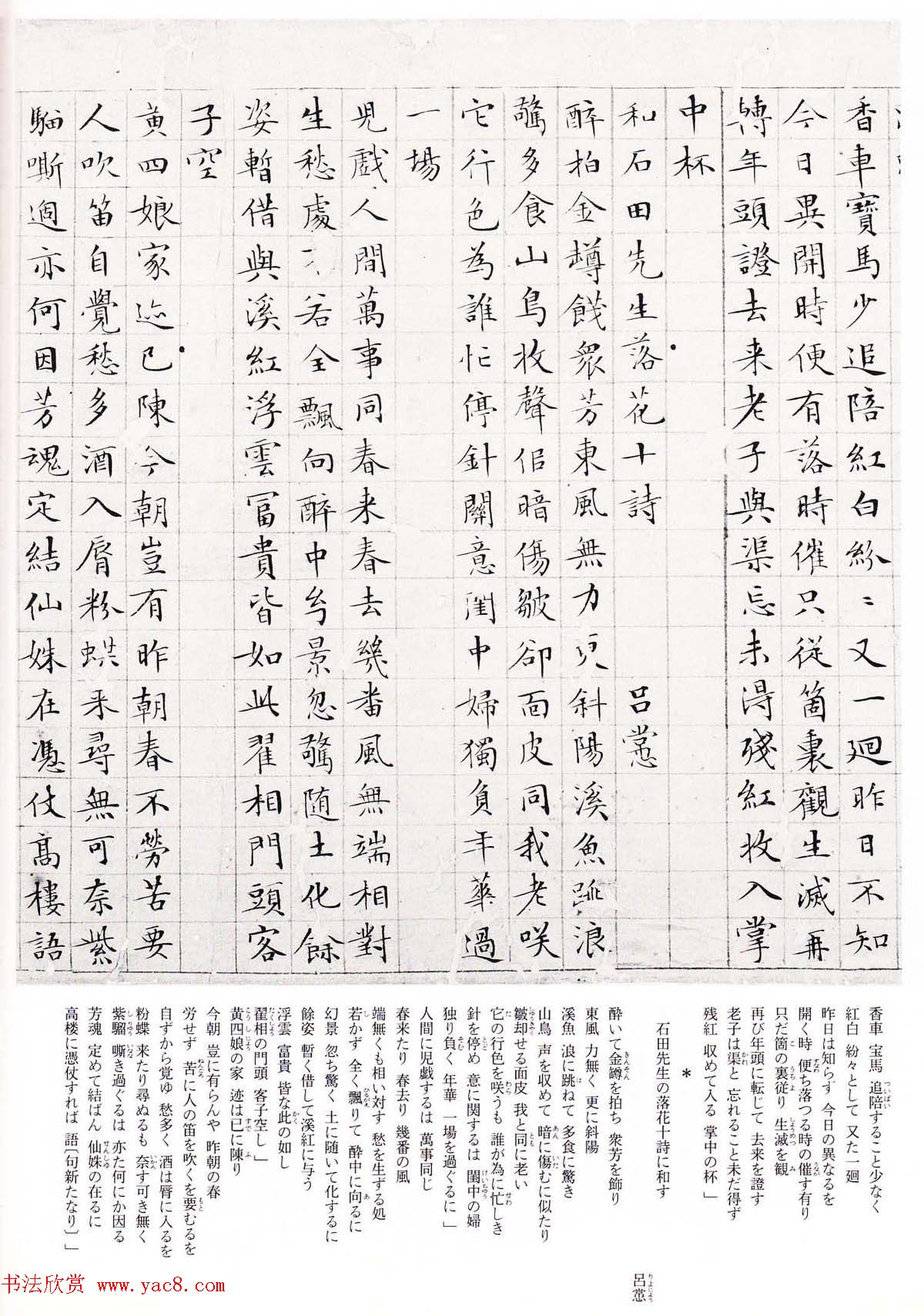
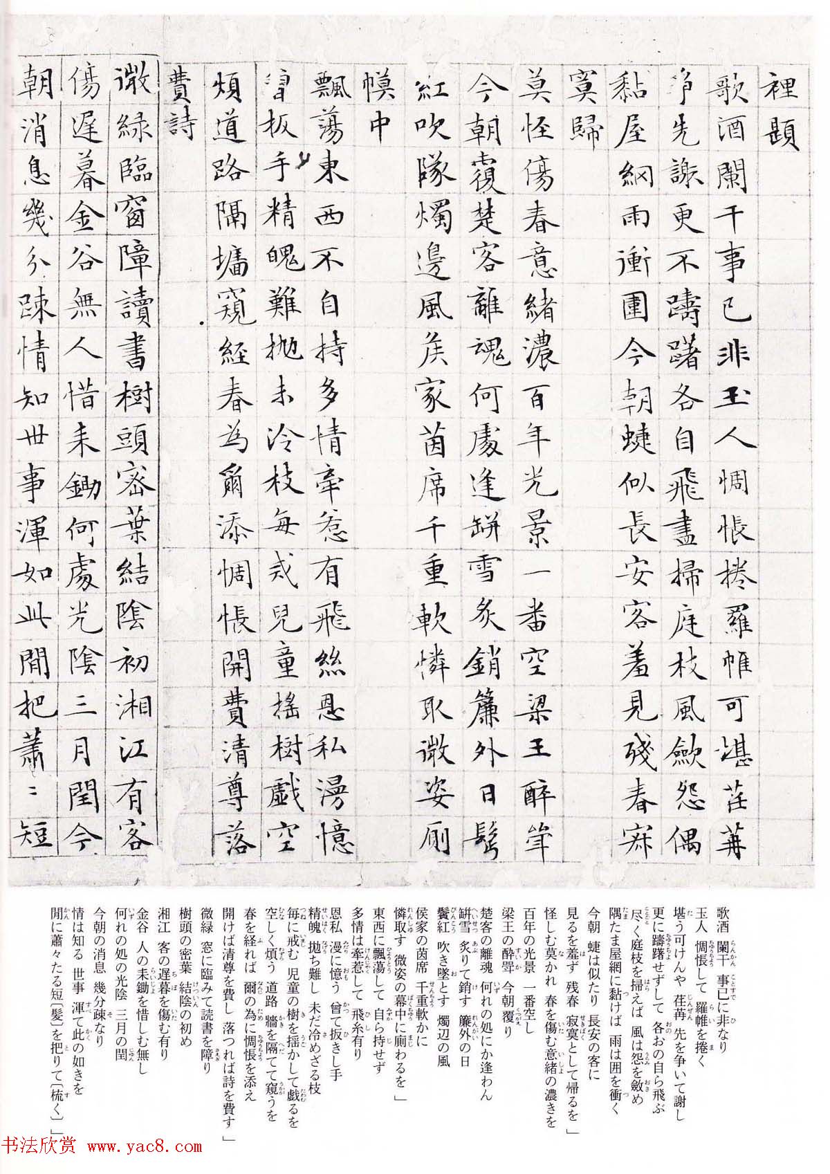
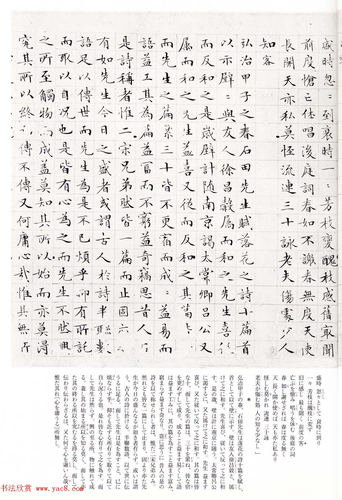
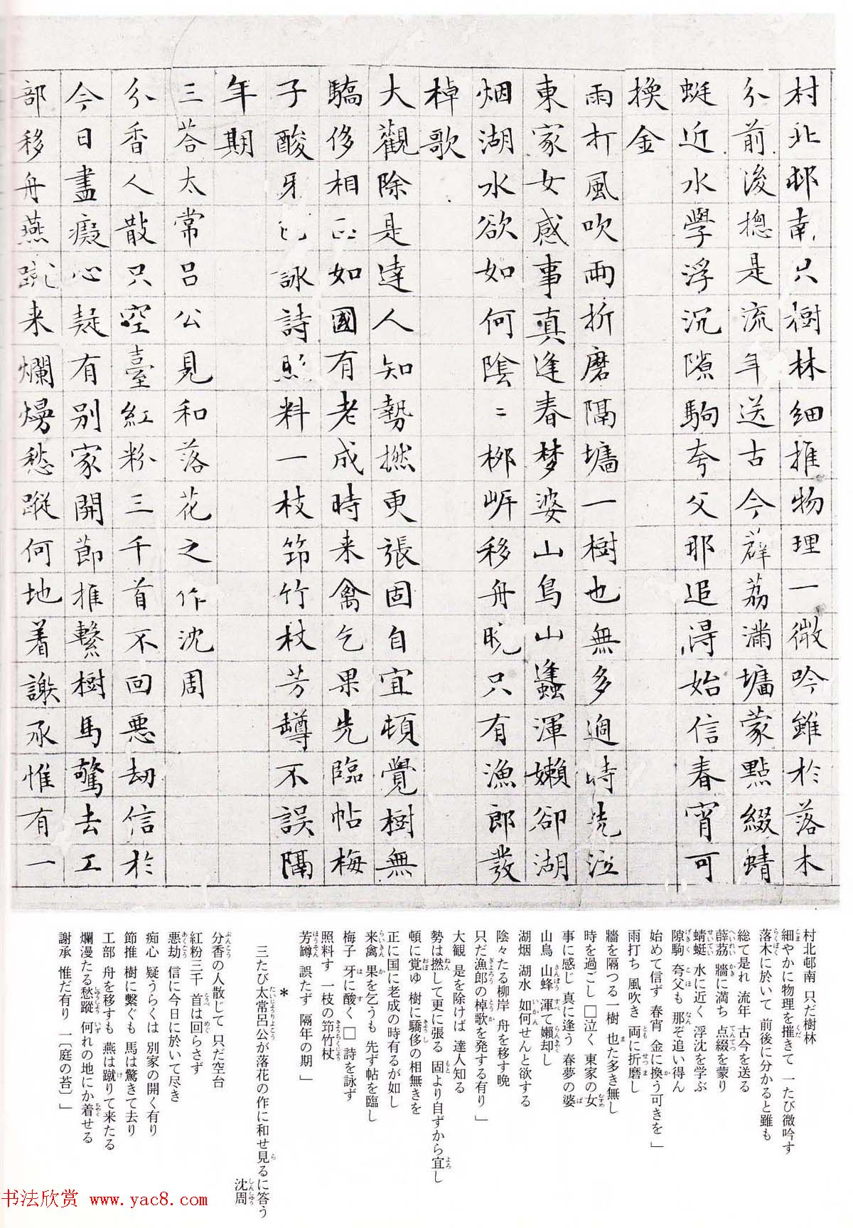
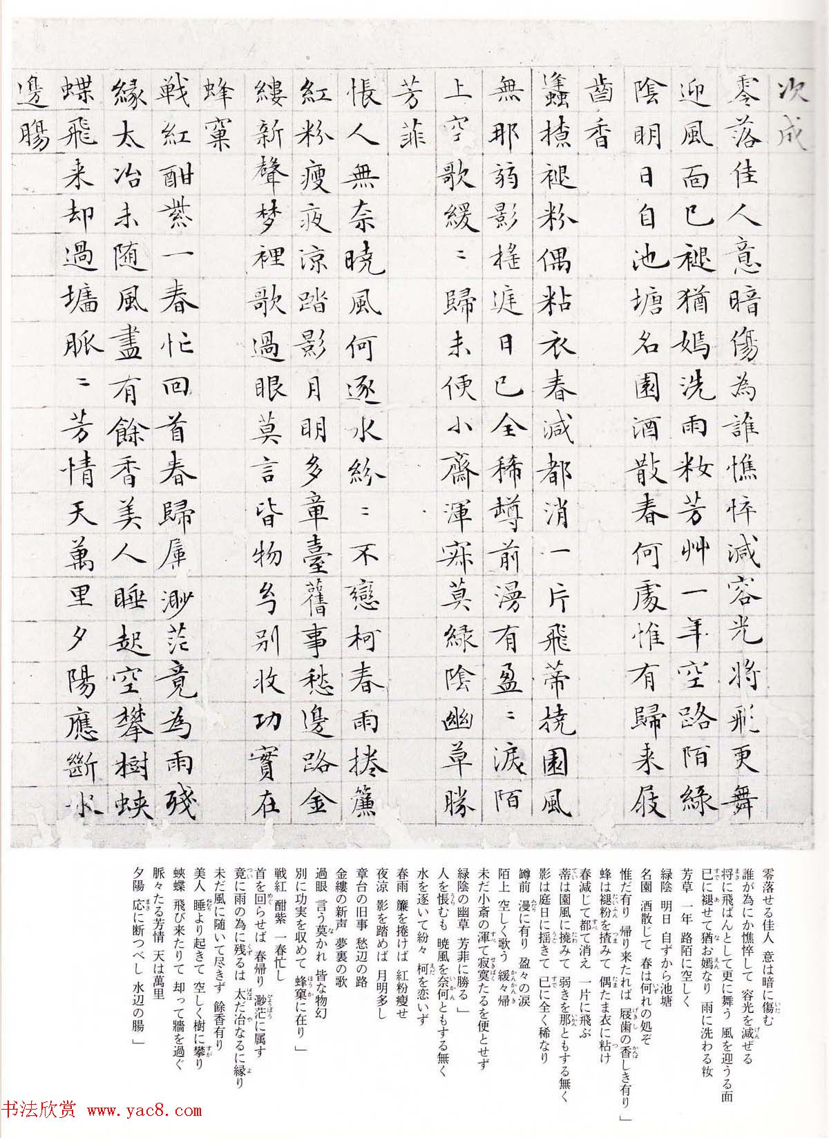
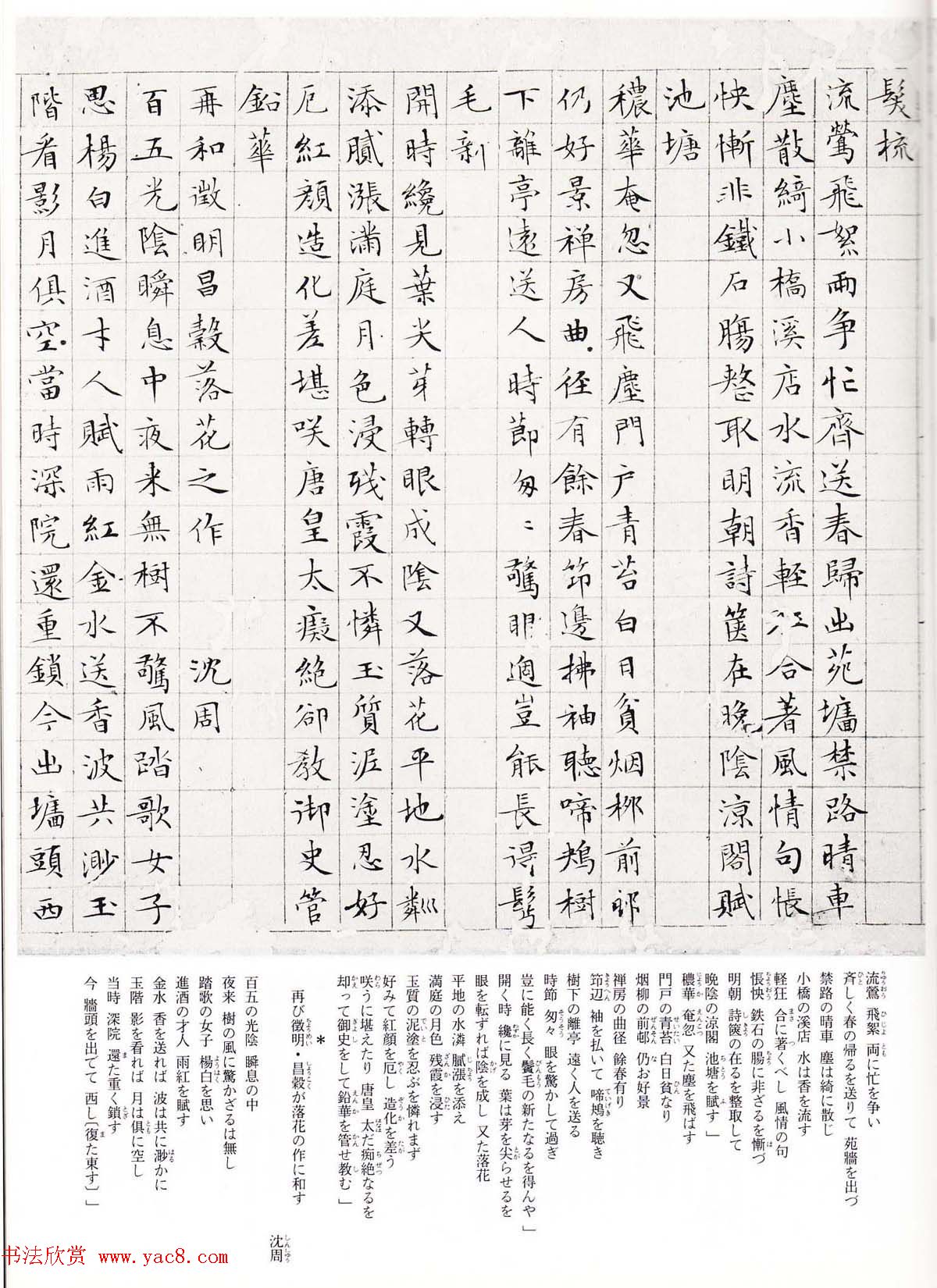
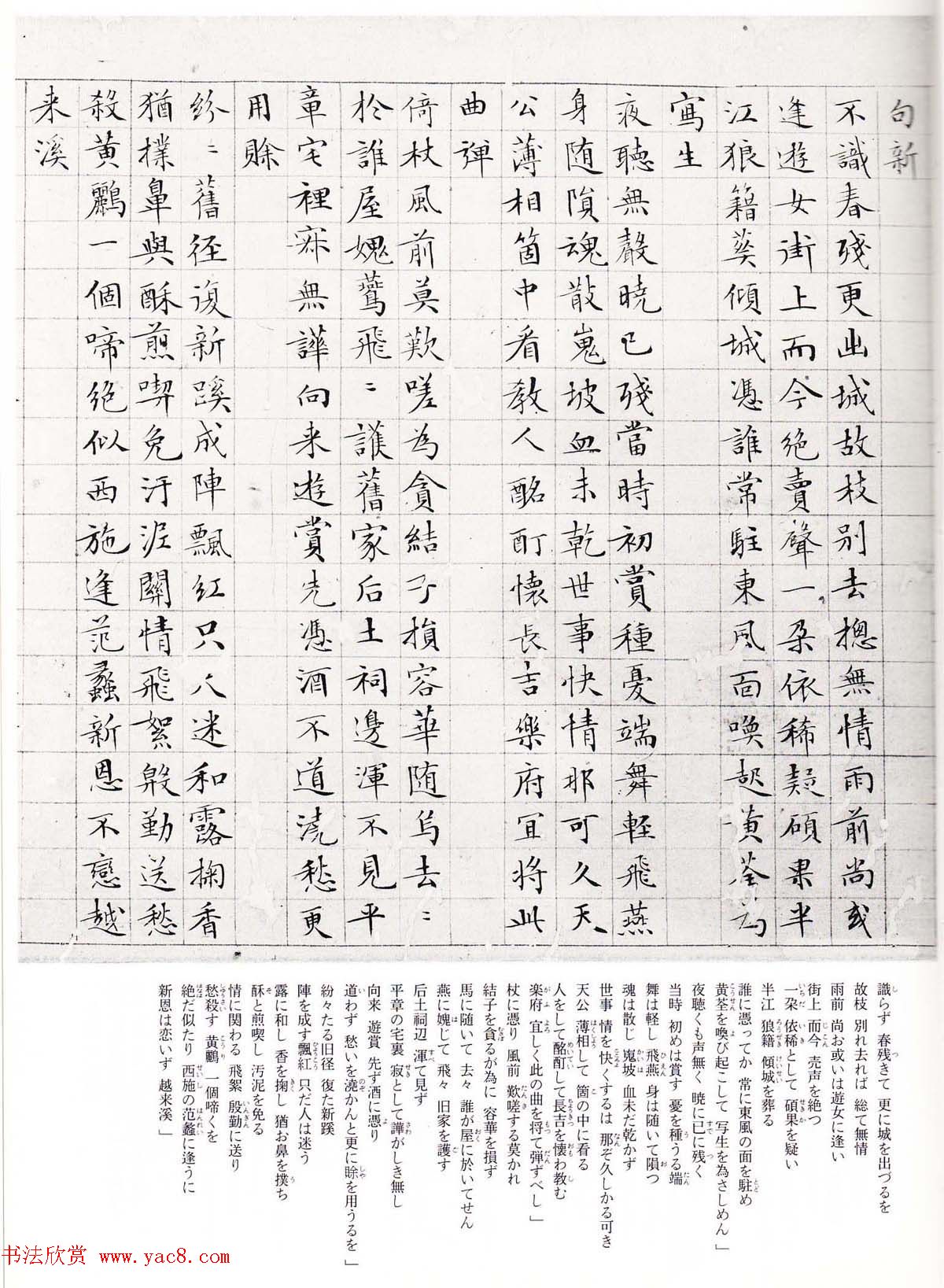
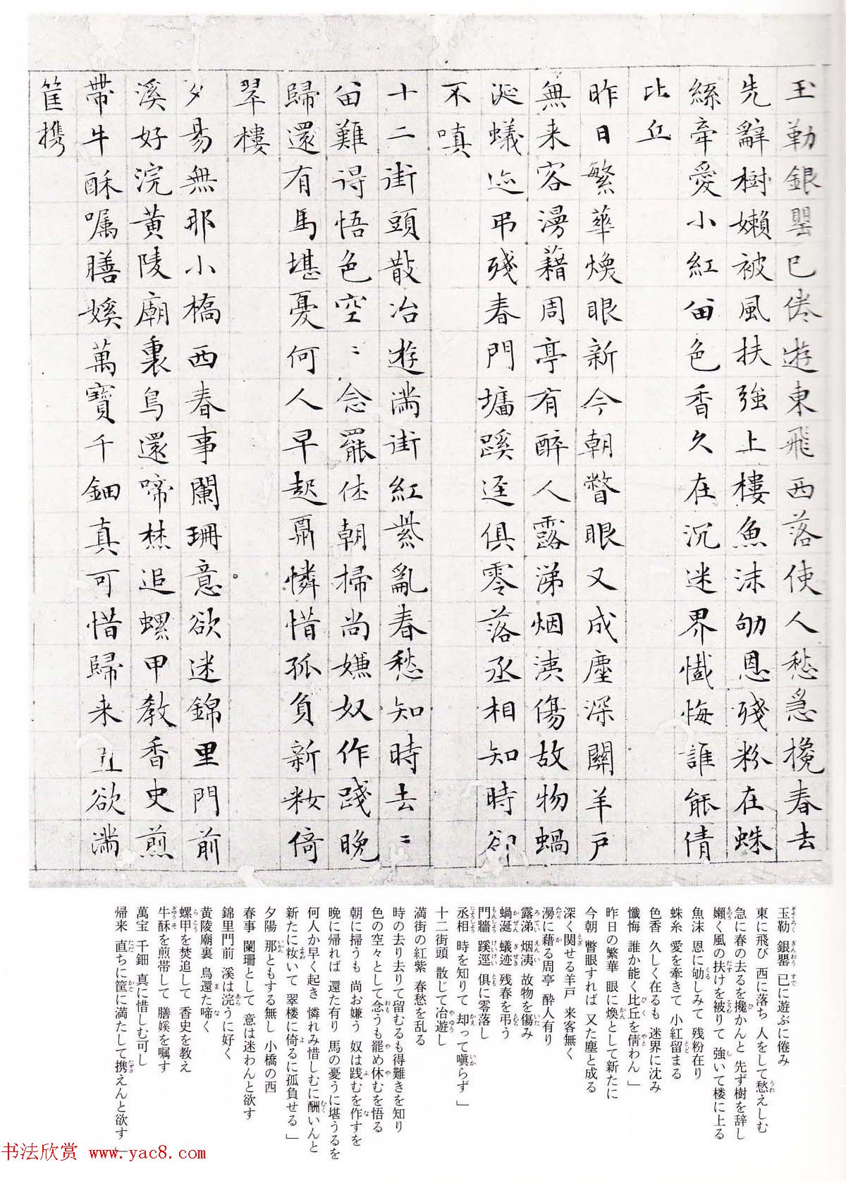
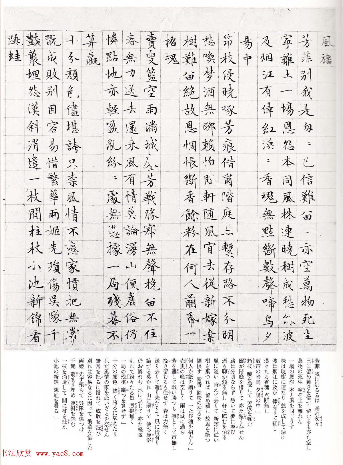
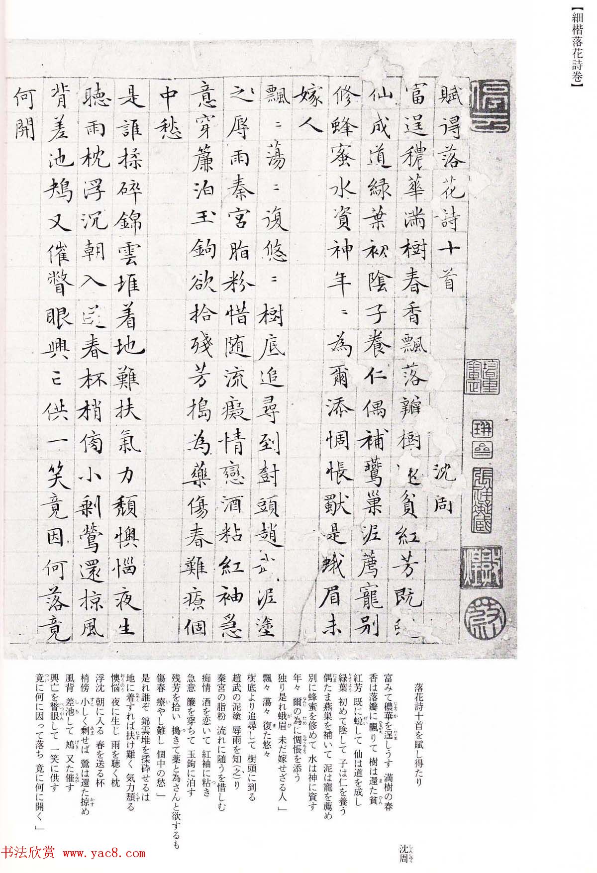
文徵明细楷落花诗卷日本二玄社版,沈周老年丧子赋得《落花诗》十首以寄托哀思,衡山居士高清晰小楷图片17张。

文徵明细楷落花诗十首卷日本二玄社版

文徵明细楷落花诗十首卷日本二玄社版

文徵明细楷落花诗十首卷日本二玄社版

文徵明细楷落花诗十首卷日本二玄社版

文徵明细楷落花诗十首卷日本二玄社版

文徵明细楷落花诗十首卷日本二玄社版

文徵明细楷落花诗十首卷日本二玄社版

文徵明细楷落花诗十首卷日本二玄社版

文徵明细楷落花诗十首卷日本二玄社版

文徵明细楷落花诗十首卷日本二玄社版

文徵明细楷落花诗十首卷日本二玄社版

文徵明细楷落花诗十首卷日本二玄社版

文徵明细楷落花诗十首卷日本二玄社版

文徵明细楷落花诗十首卷日本二玄社版

文徵明细楷落花诗十首卷日本二玄社版

文徵明细楷落花诗十首卷日本二玄社版

文徵明细楷落花诗十首卷日本二玄社版

扫一扫在手机打开当前页
.
—— 好的作品,需要你的点赞鼓励 ——
.
.
田林县图书馆
DENZLINZ YEN DUZSUHGVANJ
田林县图书馆版权所有
工作QQ:515437219
工作邮箱:tltsg123@163.com
工作电话:0776—7220956
工作地址:广西百色市田林县乐里镇新安街14号
技术支持:广西广图网络科技有限公司

.

微信公众号

.

微信小程序

.

广西公共图书馆

2018 - 2026 © tianlin.gxlib.cn All Rights Reserved . 桂ICP备19008529号 . 桂公网安备45010702001461号 . 统计代码
.