发表于:广西
名家书法|黄道周小楷《周顺昌神道碑》
时间:2019-12-27
编辑:田林县图书馆
浏览:0

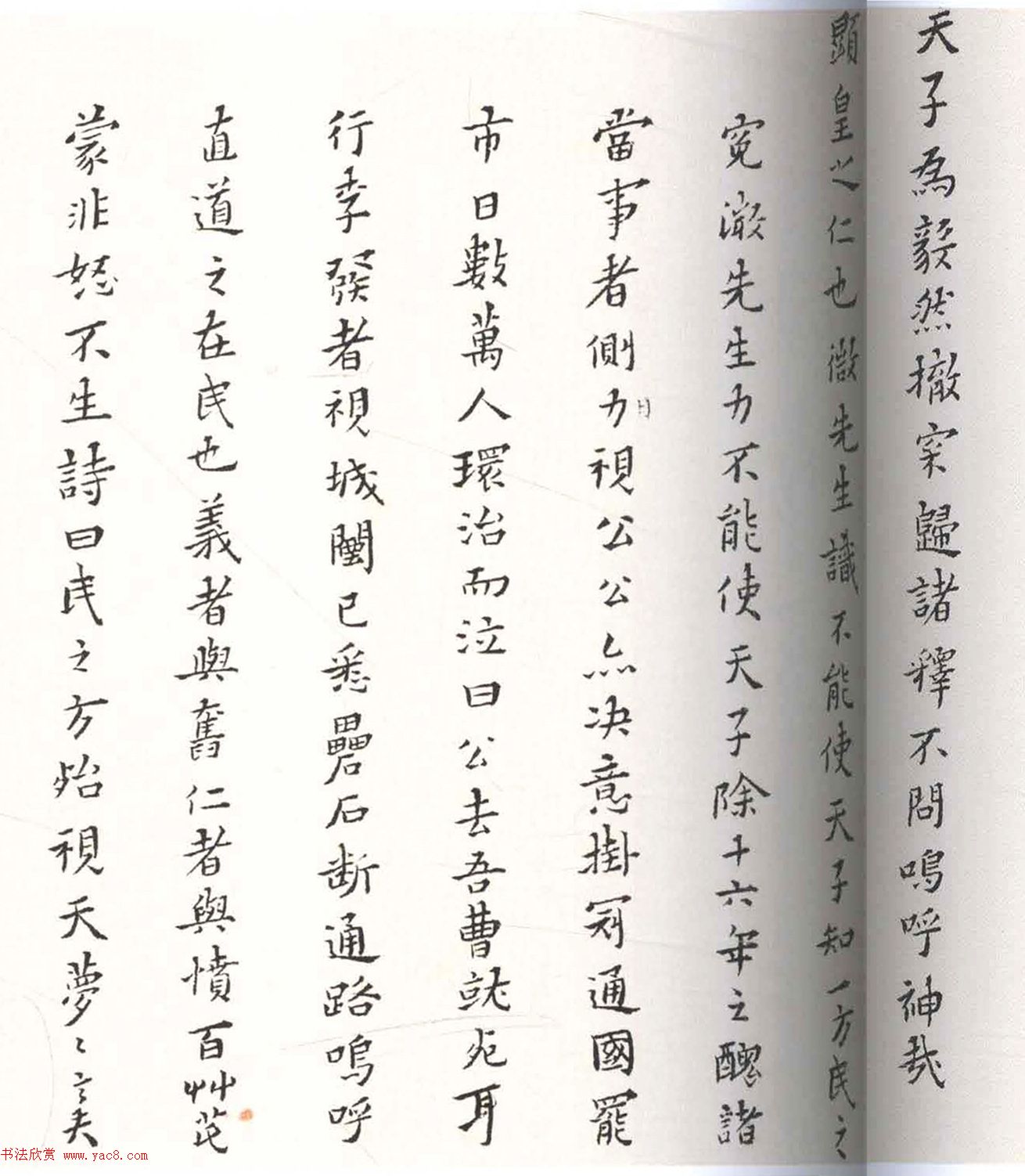
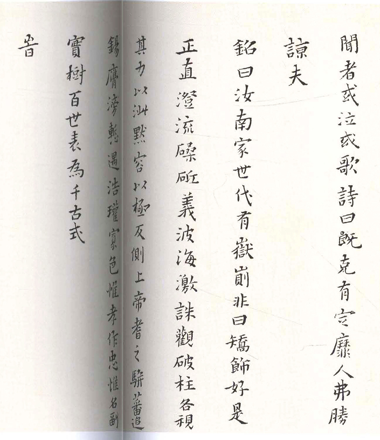
选自1984年书法丛刊 第八辑载黄道周小楷《周顺昌神道碑》

黄道周小楷《周顺昌神道碑》

黄道周小楷《周顺昌神道碑》

黄道周小楷《周顺昌神道碑》

黄道周小楷《周顺昌神道碑》


黄道周小楷《周顺昌神道碑》

黄道周小楷《周顺昌神道碑》

黄道周小楷《周顺昌神道碑》

黄道周小楷《周顺昌神道碑》

黄道周小楷周顺昌神道碑卷,绢本27.8×231厘米,南京博物院藏。

此幅楷书长卷风格稳健,在端严中又富自然平易的韵趣,笔画刚劲有力,实如其人。

黄道周小楷《周顺昌神道碑》

黄道周小楷《周顺昌神道碑》

黄道周小楷《周顺昌神道碑》

黄道周小楷《周顺昌神道碑》

黄道周小楷《周顺昌神道碑》

黄道周小楷《周顺昌神道碑》

黄道周小楷《周顺昌神道碑》

黄道周小楷《周顺昌神道碑》

黄道周小楷《周顺昌神道碑》

黄道周小楷《周顺昌神道碑》

黄道周小楷《周顺昌神道碑》

黄道周小楷《周顺昌神道碑》

黄道周小楷《周顺昌神道碑》

黄道周小楷《周顺昌神道碑》

黄道周顿首撰并书

扫一扫在手机打开当前页
.
—— 好的作品,需要你的点赞鼓励 ——
.
.
田林县图书馆
DENZLINZ YEN DUZSUHGVANJ
田林县图书馆版权所有
工作QQ:515437219
工作邮箱:tltsg123@163.com
工作电话:0776—7220956
工作地址:广西百色市田林县乐里镇新安街14号
技术支持:广西广图网络科技有限公司

.

微信公众号

.

微信小程序

.

广西公共图书馆

2018 - 2026 © tianlin.gxlib.cn All Rights Reserved . 桂ICP备19008529号 . 桂公网安备45010702001461号 . 统计代码
.