田林县图书馆
机构服务
资讯动态
留言信箱
爱心捐赠
网络展厅
数字资源
活动中心
网站流量
登录
注册
网络展厅
网络作品
田林县图书馆
网络展厅
网络作品
当前位置
机构服务
资讯动态
留言信箱
爱心捐赠
网络展厅
数字资源
活动中心
搜索
发表于:广西
默认
大
小
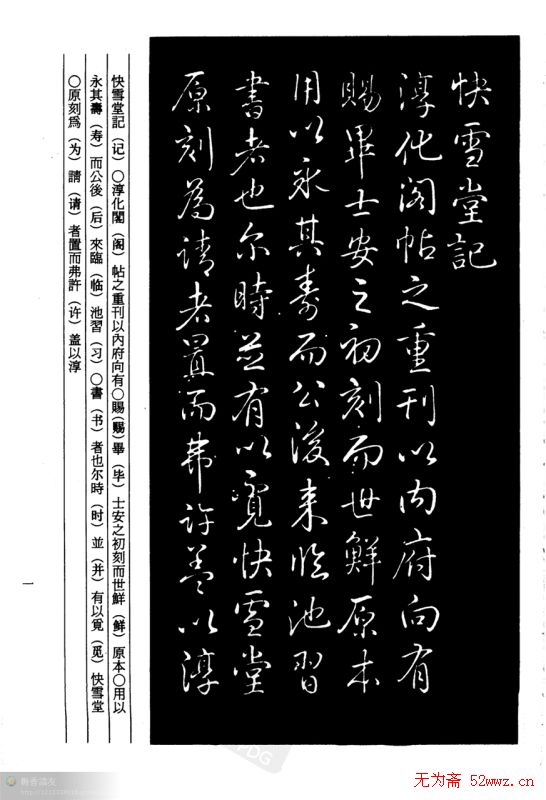
名家书法|乾隆书法《快雪堂记》
播放
暂停
停止
时间:2021-05-11
编辑:田林县图书馆
浏览:
0
快雪堂,清乾隆四十四年(公元1779年),乾隆皇帝得到元代书法家赵孟頫临晋代王羲之《快雪时晴帖》石刻,特增建了金丝楠木的快雪堂。快雪堂四周由彩绘游廊连接,在东西两侧的游廊内嵌有晋代至元代20位书法家的80篇墨迹石刻48方,其中王羲之的《快雪时晴贴》与乾隆皇帝的《快雪堂记》最为著名。
王羲之《快雪时晴帖》原文:
羲之顿首,快雪时晴,佳想安善。未果为结力不次,王羲之顿首。山阴张侯。
扫一扫在手机打开当前页
浏览 +
0
评论 +
0
点赞 +
0
收藏 +
1
批评 +
0
—— 好的作品,需要你的点赞鼓励 ——
田林县图书馆
DENZLINZ YEN DUZSUHGVANJ
田林县图书馆版权所有
工作QQ:515437219
工作邮箱:tltsg123@163.com
工作电话:0776—7220956
工作地址:广西百色市田林县乐里镇新安街14号
技术支持:广西广图网络科技有限公司
微信公众号
微信小程序
广西公共图书馆
2018 - 2026 © tianlin.gxlib.cn All Rights Reserved .
桂ICP备19008529号
.
桂公网安备45010702001461号
. 统计代码