发表于:广西
书法字帖|智永书法字帖《草书千字文》
时间:2022-01-02
编辑:田林县图书馆
浏览:0

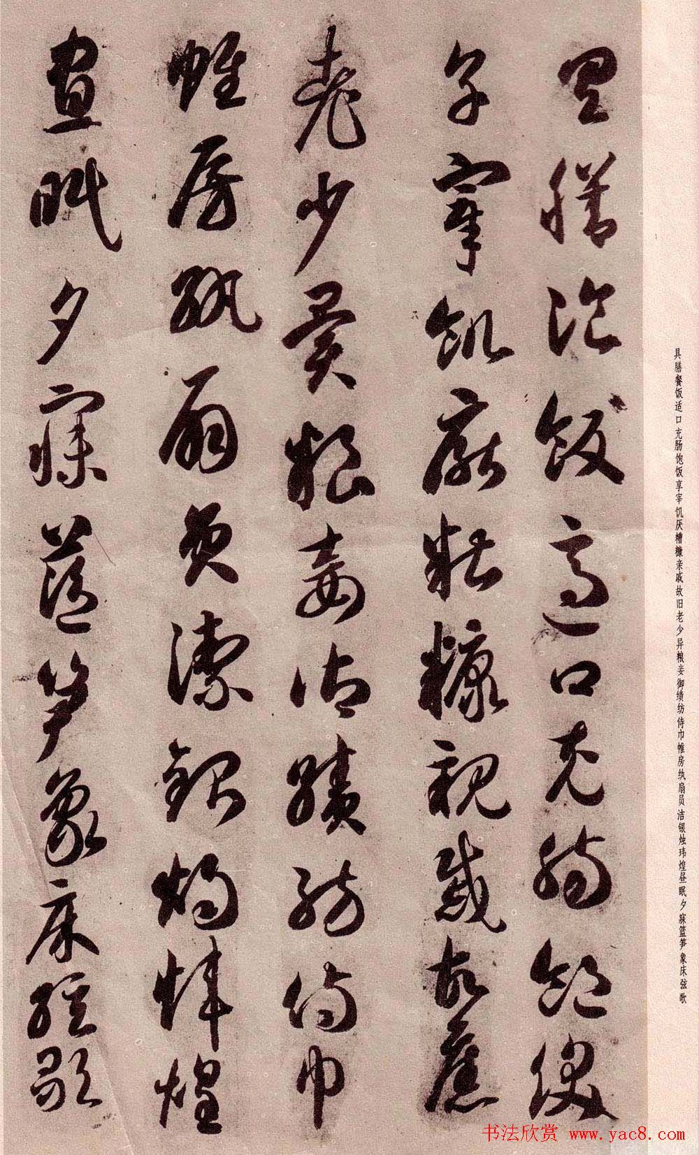
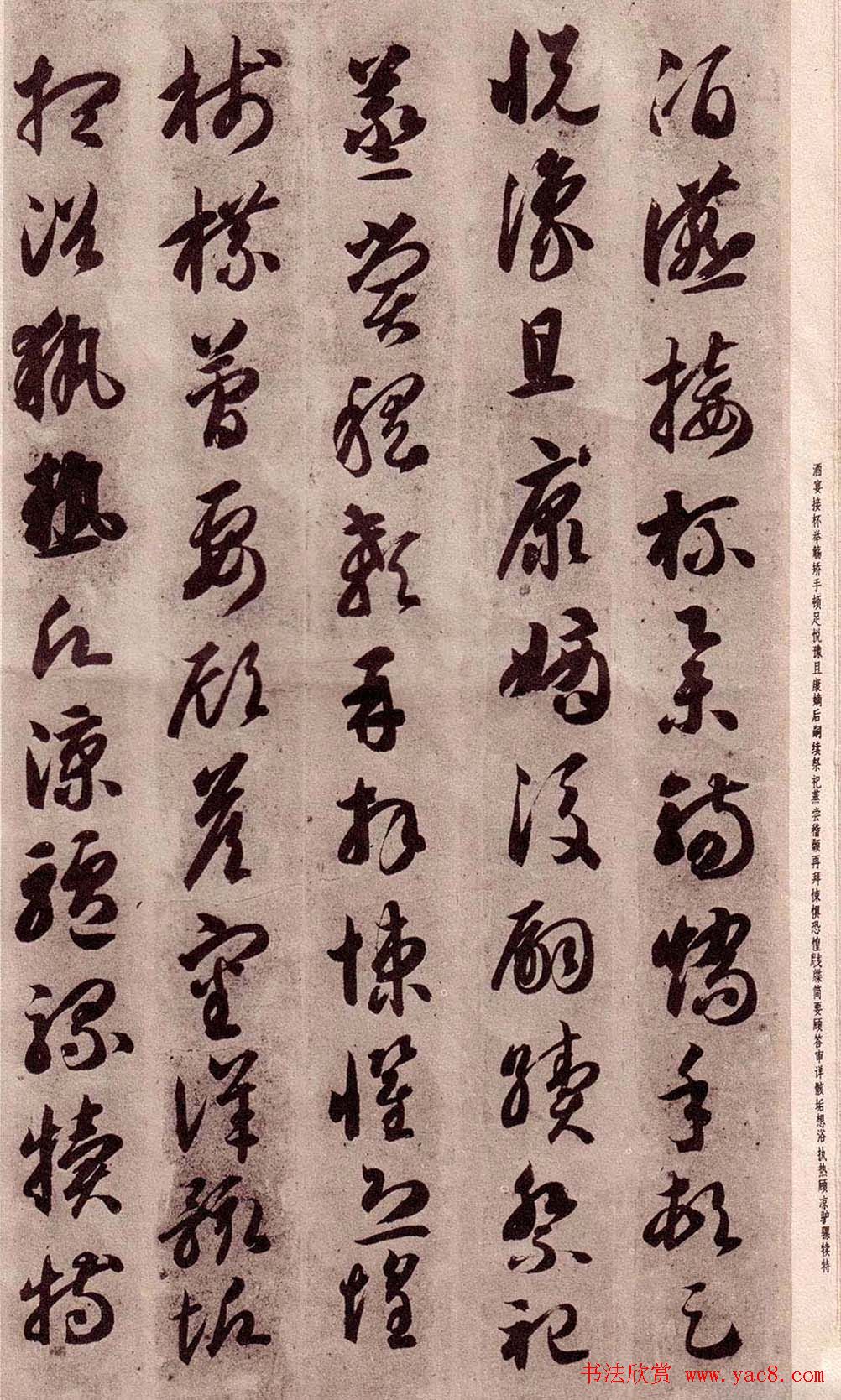
智永书法字帖欣赏《草书千字文》

智永为陈隋间山阴(今浙江省绍兴市)永欣寺僧,名法极,俗姓王氏,道号“永禅师”。会稽人,王羲之七世孙,善书法,尤工草书。常居永兴寺阁,临池学书。作真草千字文八百本,凡浙东诸寺各送一本。取秃笔头瘗之,曰“退笔冢”。

智永书法字帖《草书千字文》

智永书法字帖《草书千字文》

智永书法字帖《草书千字文》

智永书法字帖《草书千字文》

智永书法字帖《草书千字文》

智永书法字帖《草书千字文》

智永书法字帖《草书千字文》

智永书法字帖《草书千字文》

智永书法字帖《草书千字文》

智永书法字帖《草书千字文》

智永书法字帖《草书千字文》

智永书法字帖《草书千字文》

智永书法字帖《草书千字文》

智永书法字帖《草书千字文》

智永书法字帖《草书千字文》

智永书法字帖《草书千字文》

智永书法字帖《草书千字文》

智永书法字帖《草书千字文》

智永书法字帖《草书千字文》

智永书法字帖《草书千字文》

扫一扫在手机打开当前页
.
—— 好的作品,需要你的点赞鼓励 ——
.
.
田林县图书馆
DENZLINZ YEN DUZSUHGVANJ
田林县图书馆版权所有
工作QQ:515437219
工作邮箱:tltsg123@163.com
工作电话:0776—7220956
工作地址:广西百色市田林县乐里镇新安街14号
技术支持:广西广图网络科技有限公司

.

微信公众号

.

微信小程序

.

广西公共图书馆

2018 - 2026 © tianlin.gxlib.cn All Rights Reserved . 桂ICP备19008529号 . 桂公网安备45010702001461号 . 统计代码
.