发表于:广西
书法篆刻|王正良评析优秀钢笔书法作品
时间:2019-09-22
编辑:田林县图书馆
浏览:0

王正良评析优秀钢笔书法作品

王正良评析优秀钢笔书法作品

王正良评析优秀钢笔书法作品

王正良评析优秀钢笔书法作品

卢中南钢笔书法作品

王正良评析优秀钢笔书法作品

王正良评析优秀钢笔书法作品

王正良评析优秀钢笔书法作品

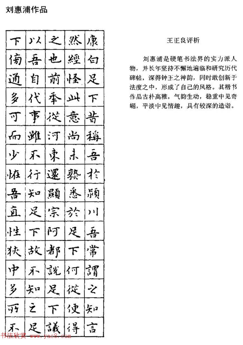
刘惠浦钢笔书法作品

王正良评析优秀钢笔书法作品

王正良评析优秀钢笔书法作品

王正良评析优秀钢笔书法作品

赵彦良钢笔书法作品

王正良评析优秀钢笔书法作品

王正良评析优秀钢笔书法作品

王正良评析优秀钢笔书法作品

范林庆钢笔书法作品

王正良评析优秀钢笔书法作品

王正良评析优秀钢笔书法作品

王正良评析优秀钢笔书法作品

谢非墨钢笔书法作品

王正良评析优秀钢笔书法作品

王正良评析优秀钢笔书法作品

王正良评析优秀钢笔书法作品

汪寅生钢笔书法作品

王正良评析优秀钢笔书法作品

王正良评析优秀钢笔书法作品

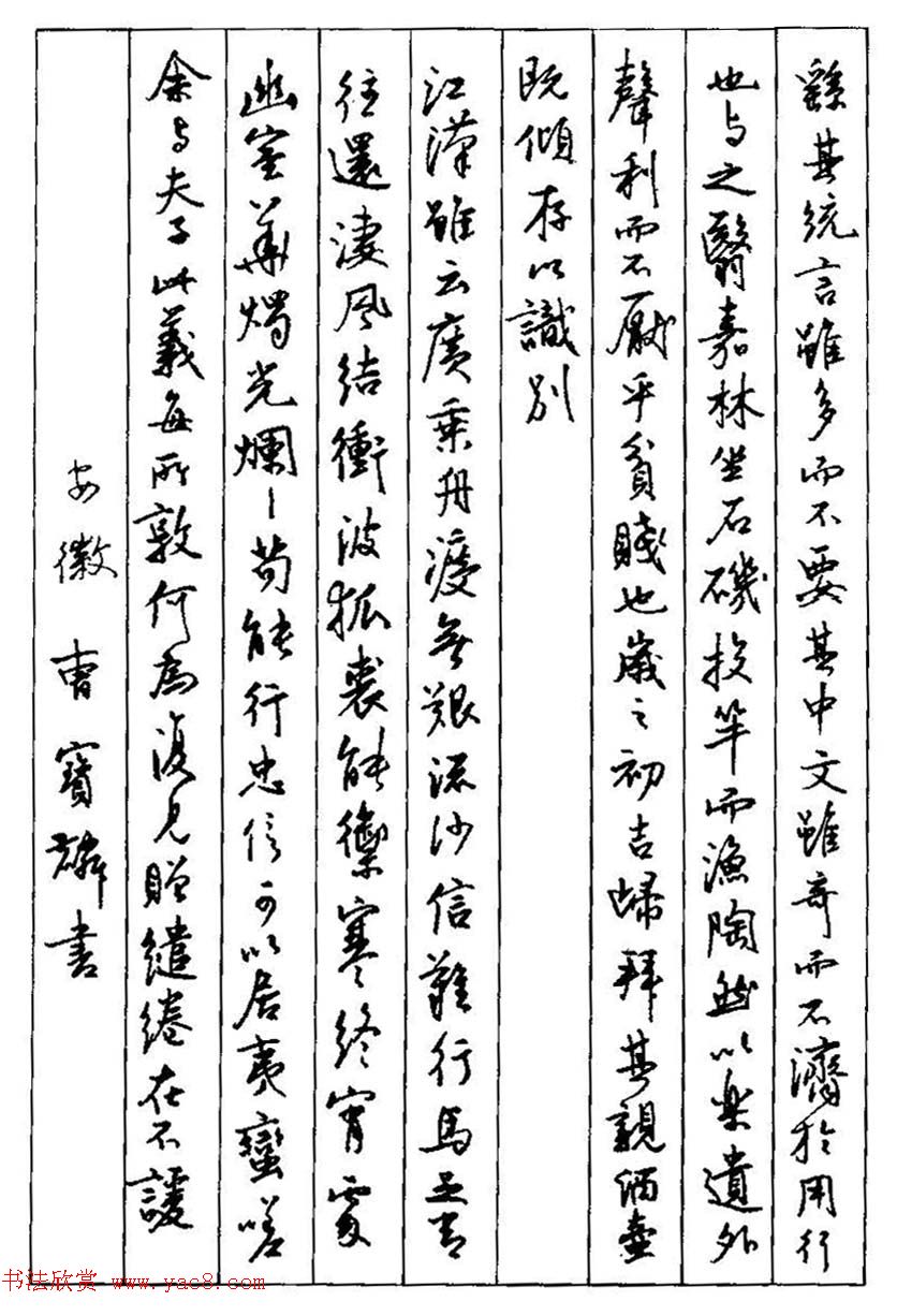
曹宝麟钢笔书法作品

王正良评析优秀钢笔书法作品

马明钢笔书法作品

王正良评析优秀钢笔书法作品

王正良评析优秀钢笔书法作品

王正良评析优秀钢笔书法作品

高惠敏钢笔书法作品

王正良评析优秀钢笔书法作品

王正良评析优秀钢笔书法作品

王正良评析优秀钢笔书法作品

卢前钢笔书法作品

王正良评析优秀钢笔书法作品

王正良评析优秀钢笔书法作品

王正良评析优秀钢笔书法作品

崔学路钢笔书法作品

王正良评析优秀钢笔书法作品

王正良评析优秀钢笔书法作品

王正良评析优秀钢笔书法作品

樊中岳钢笔书法作品

扫一扫在手机打开当前页
.
—— 好的作品,需要你的点赞鼓励 ——
.
.
田林县图书馆
DENZLINZ YEN DUZSUHGVANJ
田林县图书馆版权所有
工作QQ:515437219
工作邮箱:tltsg123@163.com
工作电话:0776—7220956
工作地址:广西百色市田林县乐里镇新安街14号
技术支持:广西广图网络科技有限公司

.

微信公众号

.

微信小程序

.

广西公共图书馆

2018 - 2026 © tianlin.gxlib.cn All Rights Reserved . 桂ICP备19008529号 . 桂公网安备45010702001461号 . 统计代码
.