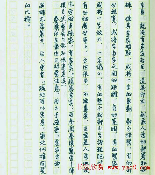
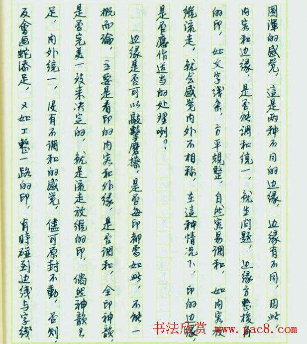
来楚生硬笔书稿《然犀室印学心印》
来楚生是诗、书、画、印四绝的著名艺术家。其画清新朴茂、笔墨简练、格调隽逸,在现代花鸟画坛上独树一帜。书法拙中寓巧,草书和隶篆最为人称道。篆刻远师秦汉,近踵吴熙载、赵之谦、吴俊卿、齐璜等大家,而能不落前人窠臼,自出新生意,开创了一代印风。其肖形印更是融汉画像、古肖形印为一炉,在印坛上冠绝古今,无出其右。有《来楚生画集》、《来楚生法书集》、《然犀室肖形印印存》行世。
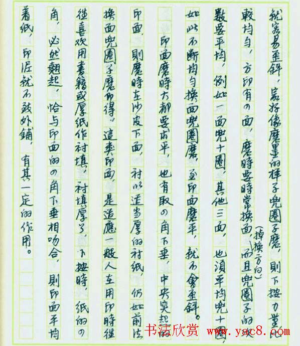
来楚生硬笔书稿《然犀室印学心印》
来楚生是诗、书、画、印四绝的著名艺术家。其画清新朴茂、笔墨简练、格调隽逸,在现代花鸟画坛上独树一帜。书法拙中寓巧,草书和隶篆最为人称道。篆刻远师秦汉,近踵吴熙载、赵之谦、吴俊卿、齐璜等大家,而能不落前人窠臼,自出新生意,开创了一代印风。其肖形印更是融汉画像、古肖形印为一炉,在印坛上冠绝古今,无出其右。有《来楚生画集》、《来楚生法书集》、《然犀室肖形印印存》行世。


微信公众号

微信小程序

广西公共图书馆