发表于:广西
书法篆刻|先儒王守仁书法《若耶溪送友诗稿》附跋文
时间:2020-07-19
编辑:田林县图书馆
浏览:0
王守仁(1472-1529),汉族,浙江余姚人。字伯安,号阳明子,世称阳明先生,故又称王阳明。中国明代最著名的思想家、哲学家、文学家和军事家。陆王心学之集大成者,非但精通儒家、佛家、道家,而且能够统军征战,是中国历史上罕见的全能大儒。封“先儒”,奉祀孔庙东庑第58位。
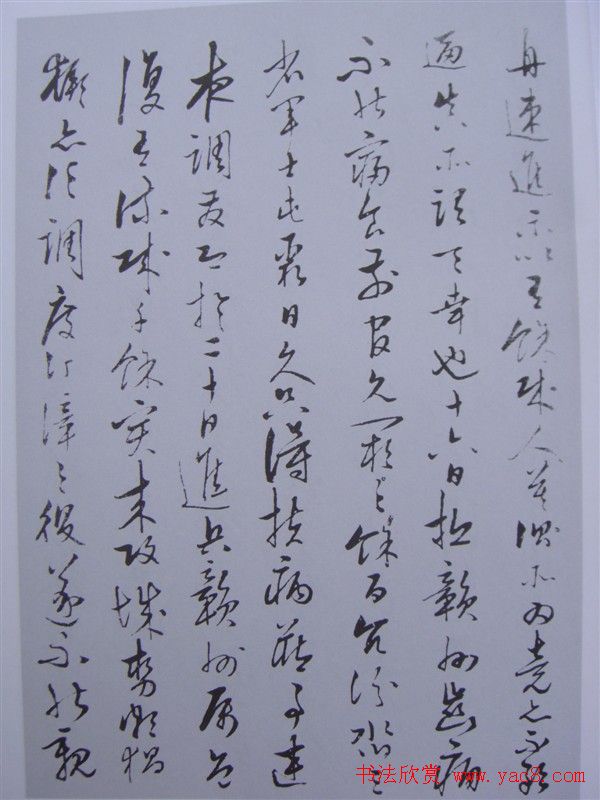
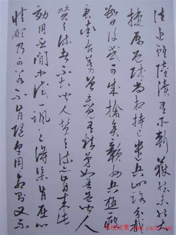
《若耶溪送友诗稿》书于弘治十五年,纸本,现藏于日本大阪博文堂。后有罗振玉、郑孝胥跋文。
先儒王守仁书法《若耶溪送友诗稿》附跋文
先儒王守仁书法《若耶溪送友诗稿》附跋文
先儒王守仁书法《若耶溪送友诗稿》附跋文

先儒王守仁书法《若耶溪送友诗稿》附跋文
先儒王守仁书法《若耶溪送友诗稿》附跋文
先儒王守仁书法《若耶溪送友诗稿》附跋文
先儒王守仁书法《若耶溪送友诗稿》附跋文

先儒王守仁书法《若耶溪送友诗稿》附跋文
先儒王守仁书法《若耶溪送友诗稿》附跋文
先儒王守仁书法《若耶溪送友诗稿》附跋文
先儒王守仁书法《若耶溪送友诗稿》附跋文

先儒王守仁书法《若耶溪送友诗稿》附跋文
先儒王守仁书法《若耶溪送友诗稿》附跋文
先儒王守仁书法《若耶溪送友诗稿》附跋文
先儒王守仁书法《若耶溪送友诗稿》附跋文

先儒王守仁书法《若耶溪送友诗稿》附跋文
先儒王守仁书法《若耶溪送友诗稿》附跋文
先儒王守仁书法《若耶溪送友诗稿》附跋文
先儒王守仁书法《若耶溪送友诗稿》附跋文

先儒王守仁书法《若耶溪送友诗稿》附跋文
先儒王守仁书法《若耶溪送友诗稿》附跋文
先儒王守仁书法《若耶溪送友诗稿》附跋文
扫一扫在手机打开当前页
.
—— 好的作品,需要你的点赞鼓励 ——
.
.
田林县图书馆
DENZLINZ YEN DUZSUHGVANJ
田林县图书馆版权所有
工作QQ:515437219
工作邮箱:tltsg123@163.com
工作电话:0776—7220956
工作地址:广西百色市田林县乐里镇新安街14号
技术支持:广西广图网络科技有限公司

.

微信公众号

.

微信小程序

.

广西公共图书馆

2018 - 2026 © tianlin.gxlib.cn All Rights Reserved . 桂ICP备19008529号 . 桂公网安备45010702001461号 . 统计代码
.